Homework 7: Object Oriented Programming, Linked Lists
Due by 11:59pm on Thursday, April 6
Instructions
Download hw07.zip. Inside the archive, you will find a file called
hw07.py, along with a copy of the ok autograder.
Submission: When you are done, submit the assignment by uploading all code files you've edited to Gradescope. You may submit more than once before the deadline; only the final submission will be scored. Check that you have successfully submitted your code on Gradescope. See Lab 0 for more instructions on submitting assignments.
Using Ok: If you have any questions about using Ok, please refer to this guide.
Readings: You might find the following references useful:
Grading: Homework is graded based on correctness. Each incorrect problem will decrease the total score by one point. There is a homework recovery policy as stated in the syllabus. This homework is out of 2 points.
Required Questions
Getting Started Videos
These videos may provide some helpful direction for tackling the coding problems on this assignment.
To see these videos, you should be logged into your berkeley.edu email.
Linked Lists
Q1: Store Digits
Write a function store_digits that takes in an integer n and returns
a linked list where each element of the list is a digit of n.
Important: Do not use any string manipulation functions like
strandreversed.
def store_digits(n):
"""Stores the digits of a positive number n in a linked list.
>>> s = store_digits(1)
>>> s
Link(1)
>>> store_digits(2345)
Link(2, Link(3, Link(4, Link(5))))
>>> store_digits(876)
Link(8, Link(7, Link(6)))
>>> store_digits(2450)
Link(2, Link(4, Link(5, Link(0))))
>>> # a check for restricted functions
>>> import inspect, re
>>> cleaned = re.sub(r"#.*\\n", '', re.sub(r'"{3}[\s\S]*?"{3}', '', inspect.getsource(store_digits)))
>>> print("Do not use str or reversed!") if any([r in cleaned for r in ["str", "reversed"]]) else None
>>> link1 = Link(3, Link(Link(4), Link(5, Link(6))))
"""
"*** YOUR CODE HERE ***"
Use Ok to test your code:
python3 ok -q store_digits
Q2: Mutable Mapping
Implement deep_map_mut(func, link), which applies a function func onto
all elements in the given linked list lnk. If an element is itself a
linked list, apply func to each of its elements, and so on.
Your implementation should mutate the original linked list. Do not create any new linked lists.
Hint: The built-in
isinstancefunction may be useful.>>> s = Link(1, Link(2, Link(3, Link(4)))) >>> isinstance(s, Link) True >>> isinstance(s, int) False
Construct Check: The last doctest of this question ensures that you do not create new linked lists. If you are failing this doctest, ensure that you are not creating link lists by calling the constructor, i.e.
s = Link(1)
def deep_map_mut(func, lnk):
"""Mutates a deep link lnk by replacing each item found with the
result of calling func on the item. Does NOT create new Links (so
no use of Link's constructor).
Does not return the modified Link object.
>>> link1 = Link(3, Link(Link(4), Link(5, Link(6))))
>>> # Disallow the use of making new Links before calling deep_map_mut
>>> Link.__init__, hold = lambda *args: print("Do not create any new Links."), Link.__init__
>>> try:
... deep_map_mut(lambda x: x * x, link1)
... finally:
... Link.__init__ = hold
>>> print(link1)
<9 <16> 25 36>
"""
"*** YOUR CODE HERE ***"
Use Ok to test your code:
python3 ok -q deep_map_mut
Q3: Two List
Implement a function two_list that takes in two lists and returns a linked list. The first list contains the
values that we want to put in the linked list, and the second list contains the number of each corresponding value.
Assume both lists are the same size and have a length of 1 or greater. Assume all elements in the second list
are greater than 0.
def two_list(vals, counts):
"""
Returns a linked list according to the two lists that were passed in. Assume
vals and counts are the same size. Elements in vals represent the value, and the
corresponding element in counts represents the number of this value desired in the
final linked list. Assume all elements in counts are greater than 0. Assume both
lists have at least one element.
>>> a = [1, 3]
>>> b = [1, 1]
>>> c = two_list(a, b)
>>> c
Link(1, Link(3))
>>> a = [1, 3, 2]
>>> b = [2, 2, 1]
>>> c = two_list(a, b)
>>> c
Link(1, Link(1, Link(3, Link(3, Link(2)))))
"""
"*** YOUR CODE HERE ***"
Use Ok to test your code:
python3 ok -q two_list
Mutable Trees
Q4: Add Leaves
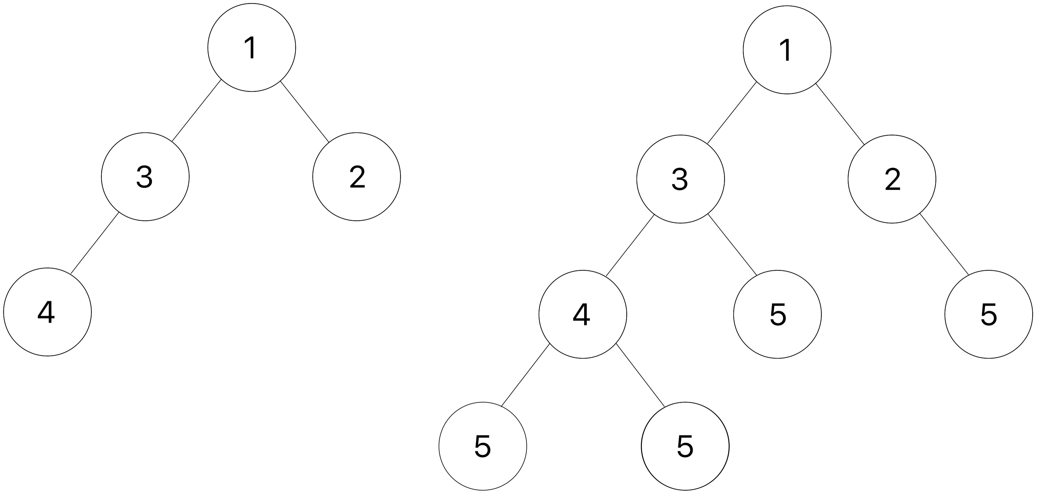
Implement add_d_leaves, a function that takes in a Tree instance t and a number v.
We define the depth of a node in t to be the number of edges from the root to that node. The depth of root is therefore 0.
For each node in the tree, you should add d leaves to it, where d is the depth of the node. Every added leaf should have a label of v. If the node at this depth has existing branches, you should add these leaves to the end of that list of branches.
For example, you should be adding 1 leaf with label v to each node at depth 1, 2 leaves to each node at depth 2, and so on.
Here is an example of a tree t(shown on the left) and the result after add_d_leaves is applied with v as 5.

Try drawing out the second doctest to visualize how the function is mutating
t3.
Hint: Use a helper function to keep track of the depth!
def add_d_leaves(t, v):
"""Add d leaves containing v to each node at every depth d.
>>> t_one_to_four = Tree(1, [Tree(2), Tree(3, [Tree(4)])])
>>> print(t_one_to_four)
1
2
3
4
>>> add_d_leaves(t_one_to_four, 5)
>>> print(t_one_to_four)
1
2
5
3
4
5
5
5
>>> t1 = Tree(1, [Tree(3)])
>>> add_d_leaves(t1, 4)
>>> t1
Tree(1, [Tree(3, [Tree(4)])])
>>> t2 = Tree(2, [Tree(5), Tree(6)])
>>> t3 = Tree(3, [t1, Tree(0), t2])
>>> print(t3)
3
1
3
4
0
2
5
6
>>> add_d_leaves(t3, 10)
>>> print(t3)
3
1
3
4
10
10
10
10
10
10
0
10
2
5
10
10
6
10
10
10
"""
"*** YOUR CODE HERE ***"
Use Ok to test your code:
python3 ok -q add_d_leaves
Submit
Make sure to submit this assignment by uploading any files you've edited to the appropriate Gradescope assignment. For a refresher on how to do this, refer to Lab 00.
Exam Practice
Homework assignments will also contain prior exam questions for you to try. These questions have no submission component; feel free to attempt them if you'd like some practice!
Linked Lists
- Fall 2020 Final Q3: College Party
- Fall 2018 MT2 Q6: Dr. Frankenlink
- Spring 2017 MT1 Q5: Insert
Mutable Trees